探测到有史以来脉冲星最大的周期跃变
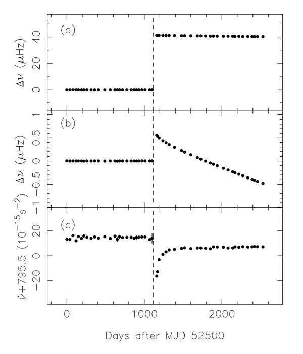
PSR B2334+61发生的周期跃变。(a)自转频率的变化;(b)放大了的自转频率变化;(c)自转频率变化率随时间的变化。
脉冲星是具快速旋转有超强磁场的中子星。脉冲星的自转一般很稳定,特别是毫秒脉冲星,比如PSR J0437-0750,其长期稳定性超过了世界上最好的原子钟。脉冲星的自转也表现出两类不稳定性:时间噪声和周期跃变。周期跃变就是其自转突然加快,主要发生在年龄在一万年至一百万年之间的脉冲星,自转频率增加相对大小一般在 之间,超过 则很罕见。周期跃变是比较珍稀的现象,目前总共发现了1800多颗脉冲星,探测到的周期跃变事件只有200次。
乌鲁木齐天文站从2000年开始对75颗脉冲星进行到达时间观测,2002年观测系统升级后观测目标增加到280颗。脉冲星PSR B2334+61位于超新星遗迹G114.3+0.3的中心,自转周期大约0.5秒,自转周期增加率 ,年龄大约4.1万年。 乌鲁木齐天文站脉冲星研究组分析了B2334+61长达七年的到达时间观测数据,发现它在2005年8月26日与9月8日之间发生了一个很大的周期跃变,这是这颗星首次观测到发生跃变。自转频率的相对增加量是 ,这是所有射电脉冲星中目前世界上最大的周期跃变。由于比较密集的观测,乌鲁木齐天文站也探测到B2334+61跃变后的恢复过程。 跃变后其频率和频率变化率发生明显的指数式恢复,频率的指数式恢复部分所占的比例小于1%。跃变后的恢复行为与M. A. Alpar提出的超流涡旋爬行模型的预测相符。这项工作已经发表在国际著名天文期刊《天体物理学报快报(Astrophysical Journal Letters)》上。
周期跃变的产生机制仍然是一个未解之谜,其发生依然不能准确预测。通常认为周期跃变是中子星内部的动力学过程引起的。大跃变的标准模型认为中子星内部超流的角动量突然转移到壳层是跃变产生的原因,因此周期跃变被认为是研究中子星内部的探针。乌鲁木齐天文站25米射电望远镜在2000至2009年间探测到的跃变事件达40次,大约占世界上所有望远镜四十年总共探测的五分之一,为研究脉冲星周期跃变和中子星内部物理提供了大量珍贵的样本。
中国科学院新疆天文台













