首页
科技新知
宇宙奥秘
航空航天
国家地理
历史军事
动物世界
植物世界
远古生物
未解之谜
探索发现
自然现象
考古发现
户外探险
桌面壁纸
环球趣闻
Science News
神秘的地球
宇宙奥秘
看到系外行星火山需要什么?
木星的卫星木卫一上火山爆发的图像——取自伽利略号宇宙飞船。鸣谢:uux.cn/美国国家...
行星状星云中的中央恒星揭示了其生命的细节
疏散星团梅西耶37中行星状星云的图像。这个星团包含数百颗恒星。蝴蝶形状的星云由于...
早期宇宙中的猝灭星系
遥远星系JADES-GS-z13-0的彩色合成JWST NIRCam图像(神秘的地球uux.cn)据今日宇宙...
天文学家是如何研究那些太遥远而无法访问
左图:OSIRIS-REx飞船的金属长臂,末端呈圆形,触碰到岩石小行星表面,表面漆黑一片...
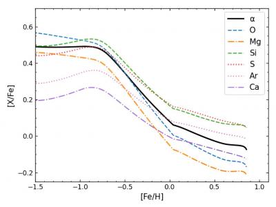
银河系考古揭示了我们的邻居仙女座星系的
元素丰度[X/Fe]的演变,包括O、Mg、Si、S、Ar和Ca(以及[α/Fe]≦([O/Fe]+[Mg/Fe]+[...
欧洲天文学家探索星系团G113
用LOFAR无线电等高线在0.7-1.2 keV波段对G113的XMM-Newton观测。学分:uux.cn/arXiv...
解释Abell 3827模糊且倾斜的引力透镜星系
CL0024(左)和A3827(右)的多映像配置比较。CL0024中的相对奇偶性(白色箭头)与单平面...
2023年的猎户座流星雨:何时、何地及如何
一颗猎户座流星划过加利福尼亚州派斯卡德罗鸽子角灯塔旁边的天空。(图片来源:uux.c...
新的研究发现,阿波罗月球岩石中的神秘磁
斯坦福大学古地磁实验室展示的月球样本。(图片鸣谢:uux.cn/哈里·格雷戈里)(神秘的...
2023年10月14日的日环食是什么时候?
10月14日将会发生日环食,整个美洲都可以看到。(图片来源:uux.cn/Allexxandar via ...
1...
上一页
246
247
248
249
250
251
252
253
254
255
...1665
下一页
最新资讯
星际彗星3I/ATLAS在
星际彗星3I/ATLAS在X射线下发光,它可能隐藏着我们从未见过的气体。图片来源:uux....
天文学家在银河系半
半人马座欧米茄球状星团。图片来源:uux.cn查克·阿尤布(神秘的地球uux.cn)据今日...
天文学家发现一个行
示例是基于每个伴星的深曝光10′′ K波段图像堆栈的Keck/NIRC2信噪比映射。这些映射...
银河系边缘巨大的新
美国宇航局的詹姆斯·韦伯太空望远镜最近在我们银河系边缘的Sh2-284星团中拍摄到了...
地球的起源故事可能
本研究假设的系统的示意图。图片来源:uux.cn科学进展(2025年)。DOI: 10.1126/s...
Terra Amata遗址揭
Terra Amata遗址有助于理解欧洲最早人类的技术灵活性。图片来源:uux.cn西班牙国家...
天文学家在金牛座发
示例:来自每个伴星的深度曝光10′′ K波段图像栈的Keck/NIRC2信噪图。这些图是通过...
太平洋深渊中伪装成
头足类分布于东北太平洋的深渊。(a) 显示每个分类单元所有目击记录的地图。(b)...
星际彗星3I/ATLAS消
彗星3I/ATLAS在这张由夏威夷Maunakea双子座北方星的双子座多天体光谱仪(GMOS)拍摄...
人工智能刚刚破解了
日冕物质抛射与太阳色球层的混合图像。图片来源:uux.cn/SOHO—ESA & NASA(神...