中科院紫金山天文台关于近地小行星(101955)Bennu表面热物理性质的研究成果
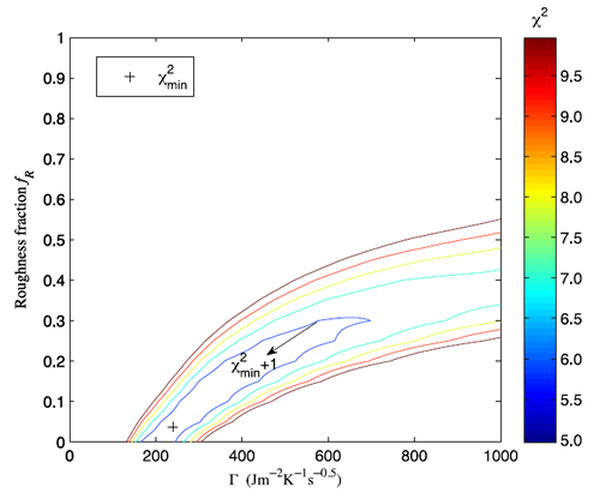
Bennu小行星热惯量与粗糙度在二维参数空间分布
Bennu小行星表面温度分布模拟
Bennu小行星热惯量与表面物质平均颗粒尺寸的关系
(神秘的地球报道)据中科院紫金山天文台:2015年7月14日,Monthly Notices of the Royal Astronomical Society (《英国皇家天文学会月刊》)在线发表了中科院紫金山天文台季江徽课题组的关于近地小行星(101955)Bennu表面热物理性质的研究成果,揭示了该小行星表面热惯量与表壤颗粒尺寸等重要物理信息,这些对深入了解近地小行星轨道漂移与起源演化具有重要意义。
小行星绝大多数分布于火星和木星轨道之间的主带区域。小行星上可能蕴含了地球生命和水体起源的重要线索,同时也蕴藏着太阳系形成初期的原始信息,因而具有重要的科学研究价值。另外有一些小行星(近地天体)轨道与地球轨道很接近或相交,存在与地球相撞的可能,因此对地球与人类的安全构成了潜在的危险。2013年2月15日,一颗直径约15m的小天体在俄罗斯车里雅宾斯克空中发生爆炸,致使1200人受伤,近3000座建筑受损,此类事件并非偶然几十年内可发生一次。正是近地天体对地球与人类生存的构成了重大威胁,因此国际上航天大国也纷纷将近地小行星作为深空探测的热点(如我国嫦娥二号探测Toutatis小行星、日本隼鸟号探测Itokawa小行星、美国尼尔号探测Eros小行星等),期望通过近距离空间探测来细致了解其物理特性、内部结构与组成成分等,将来面临危险时方能采取合理的减缓措施。
(101955)Bennu最早发现于1999年9月11日,它是一颗光谱型为B型的阿波罗型近地小行星,保存着太阳系形成初期的原初物质。由于其轨道与地球轨道很接近,具有很高的撞击地球危险性,据信其撞击概率高达3.7×10-4。此外这颗小行星具有明显的Yarkovsky轨道漂移效应,其半长径偏移速率为-(19.0±0.1)×10-4au Myr-1(大约300米/年)。这种明显的轨道漂移效应会逐渐改变其轨道,结果很可能与地球发生碰撞。因此该小行星倍受国际上天文研究机构关注。
NASA将在2016年末发射OSIRIS-REx(“起源、光谱释义、资源识别、安全、风化层探测器”)探测器对Bennu开展全面科学勘察,并带回大约60克的样品返回地球进行深入研究。OSIRIS-REx任务的科学目标是研究早期太阳系的组成,在地球上形成生命的有机物和水的来源,以及更好的预测对地球有碰撞威胁的小行星的轨道。该项任务计划于2018年到达目标小行星, 并在2023年采样返回地球。
紫台行星科学研究团队基于目前国际上先进的小行星热物理模型和Bennu最新的三维形状模型,利用空间望远镜Spitzer-PUI, Spitzer-IRAC, Herschel/PACS和地面望远镜ESO VLT/VISIR的多组热红外观测数据,首次同时限定出小行星Bennu表面热惯量、粗糙度等表面物理性质的1σ范围(图1),得到其热惯量为240+440-60Jm-2s-0.5K-1,粗糙度为0.04+0.26-0.04,几何反照率为0.047+0.0083-0.0011。热惯量是描述小行星表面热状态和物质颗粒状态的重要物理量。这些结果不仅为更准确地研究小行星Bennu的轨道漂移提供了科学依据,更为OSIRIS-REx探测任务提供重要的科学参考。
紫台研究人员根据推算的表面热惯量值与其表面温度分布(图2),进一步估计了小行星Bennu表面物质颗粒尺寸的范围约为1.3~31mm(图3),这说明该小行星表面可能大部分区域为表壤所覆盖,但可能存在少量的岩石。这些研究成果,很大程度上支持了NASA OSIRIS-REx任务Touch-And-Go采样机制的可行性。更重要的是,这些研究方法将来可应用于我国未来的小行星深空探测任务,不仅能提供探测目标小行星的表面反照率、粗糙度及热惯量等关键科学参数,还对认知深空探测器的临近辐射环境和附着与采样环境、为科学载荷的设计与研制等提供重要的工程应用价值。
该工作的第一作者是紫金山天文台余亮亮硕士。
该项研究工作得到了中国科学院行星科学重点实验室、中国科学院天文战略性先导科技专项(B类)、中国科学院新兴与交叉学科布局项目、国家自然科学基金、江苏省自然科学基金等项目资助。
相关报道:中国科学家揭示近地小行星贝努的热物理特性
(神秘的地球报道)据新华网南京7月15日电(王珏玢):记者15日从中国科学院紫金山天文台获悉,该台科研人员最新发布近地小行星(101955)贝努的表面热物理性质研究成果,这项研究揭示了小行星贝努表壤颗粒尺寸、表面热状态等重要物理信息,对深入了解近地小行星轨道漂移与起源演化具有重要意义。
据研究团队成员、紫金山天文台研究员季江徽介绍,小行星贝努保存着太阳系形成初期的原初物质,最早发现于1999年9月。由于其轨道与地球轨道很接近,科学家认为它撞击地球的危险性很高,贝努也因此备受国际天文研究机构的关注。
中国研究团队基于目前国际先进的小行星热物理模型和贝努最新的三维形状模型,利用空间和地面望远镜的多组热红外观测数据,首次同时揭示出小行星贝努的热惯量、粗糙度等表面物理性质信息。
研究人员进一步估计,小行星贝努的表面物质颗粒尺寸的范围在1.3至31毫米之间,这说明该小行星表面大部分区域可能为表壤覆盖、并存在少量的岩石。这些研究成果的发现,为更准确研究贝努的轨道漂移提供了科学依据。
季江徽说,此项科学研究运用的研究方法将来还可应用于中国小行星深空探测任务,对未来探测目标小行星的表面反照率、粗糙度及热惯量等关键科学参数,以及设计与研制深空探测器科学载荷等提供参考。
该研究成果已于近日在线发表在《英国皇家天文学会月刊》上。















