《综合精神病学》杂志:研究表明大麻对精神疾病的疗效可能取决于症状的严重程度
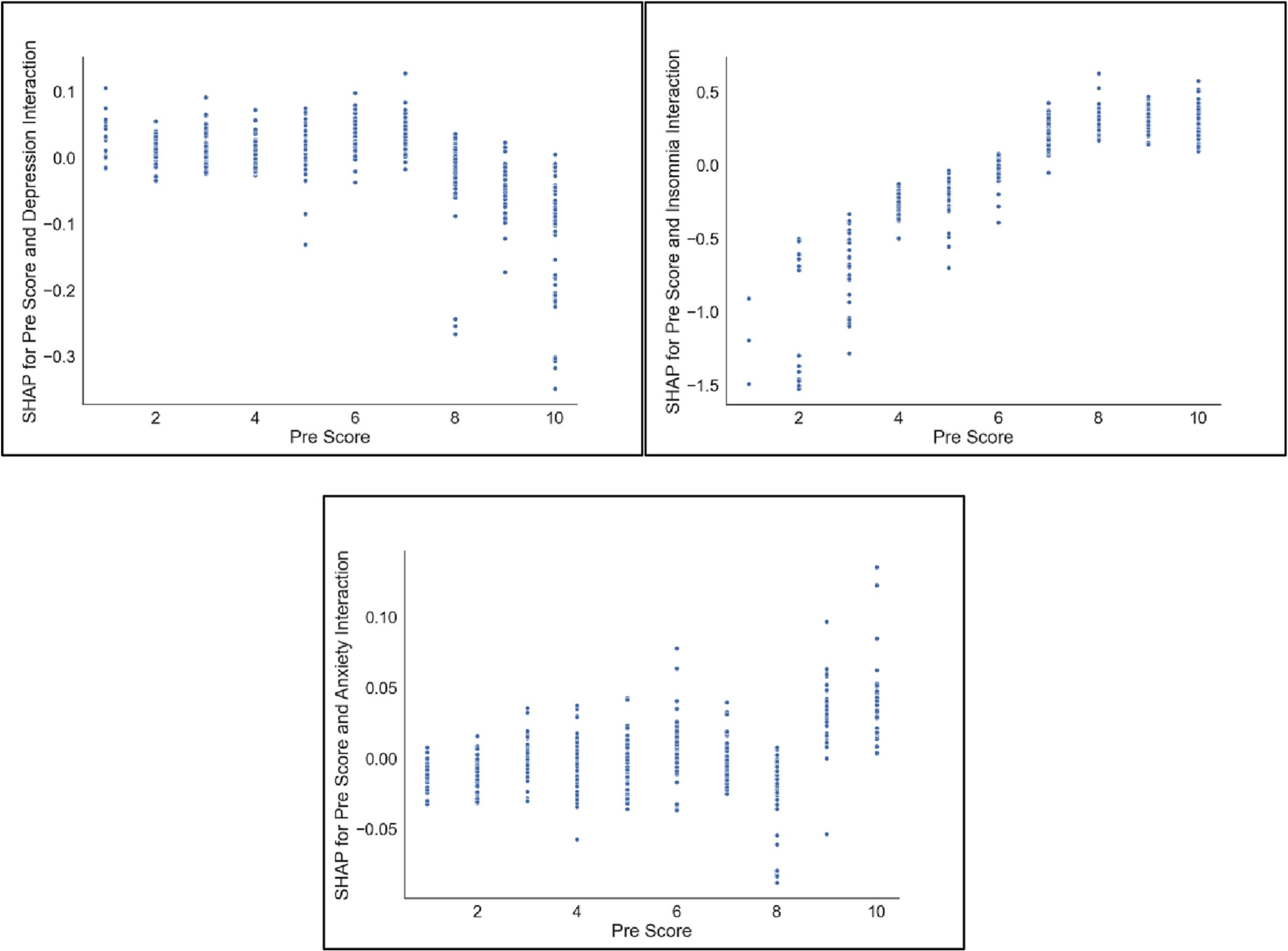
抑郁、失眠和焦虑的SHAP互动图。抑郁症症状前严重程度较低的使用者比抑郁症症状前严重程度较高的使用者更有可能从大麻使用中受益。与失眠症状前严重程度较高的使用者相比,失眠症状前严重程度较低的使用者从大麻使用中获益的可能性较小。在患有焦虑症的使用者中没有观察到症状改善的一致模式。Credit: Comprehensive Psychiatry (2023). DOI: 10.1016/j.comppsych.2023.152377
(神秘的地球uux.cn)据by Bob Yirka , Medical Xpress:来自加拿大圣约瑟夫医疗保健汉密尔顿和麦克马斯特大学的一小组精神卫生保健研究人员发现,有证据表明,大麻治疗抑郁症和失眠症等精神疾病的有效性可能取决于症状的严重程度。在他们发表在《综合精神病学》杂志上的研究中,该小组分析了一组Strainprint移动应用程序用户的数据。
先前的研究和轶事证据表明,大麻可以减轻一些经历精神健康问题的人的症状。在这项新的努力中,加拿大的团队研究了大麻对经历抑郁、失眠、过度易怒、经前综合症、创伤后应激障碍和侵入性思维的人的影响。
为此,他们获得了经常使用Strainprint应用程序的精神病患者的数据。该应用程序允许用户记录他们的疾病类型、症状水平或程度、他们用于治疗疾病的大麻浓度、他们使用的产品及其使用模式(食用、油、花等)。).
在获得并分析了1300名成年用户的数据并应用人工智能模型后,研究人员发现了一些模式。他们指出,症状的严重程度可能会影响大麻在缓解症状方面的益处。例如,他们发现,许多报告自己症状严重的使用者在使用大麻后对抑郁症几乎没有帮助。事实上,一些人报告说大麻让他们感觉更糟。
然而,许多报告有轻微抑郁症状的使用者报告说,使用大麻改善了他们的症状。与此形成鲜明对比的是,失眠者的情况似乎正好相反。许多报告有轻微症状的使用者发现,服用大麻对他们的睡眠没有什么帮助。然而,许多报告有严重症状的人发现它对他们有帮助。研究小组指出,研究结果表明,有可能预测服用大麻是否有助于减轻某些精神健康症状。
研究小组承认,他们的研究是有限的,在解释他们的结果时应该谨慎,特别是对于那些使用大麻产品自我治疗自己的心理健康问题的人。













