研究表明,西兰花对结肠癌有保护作用
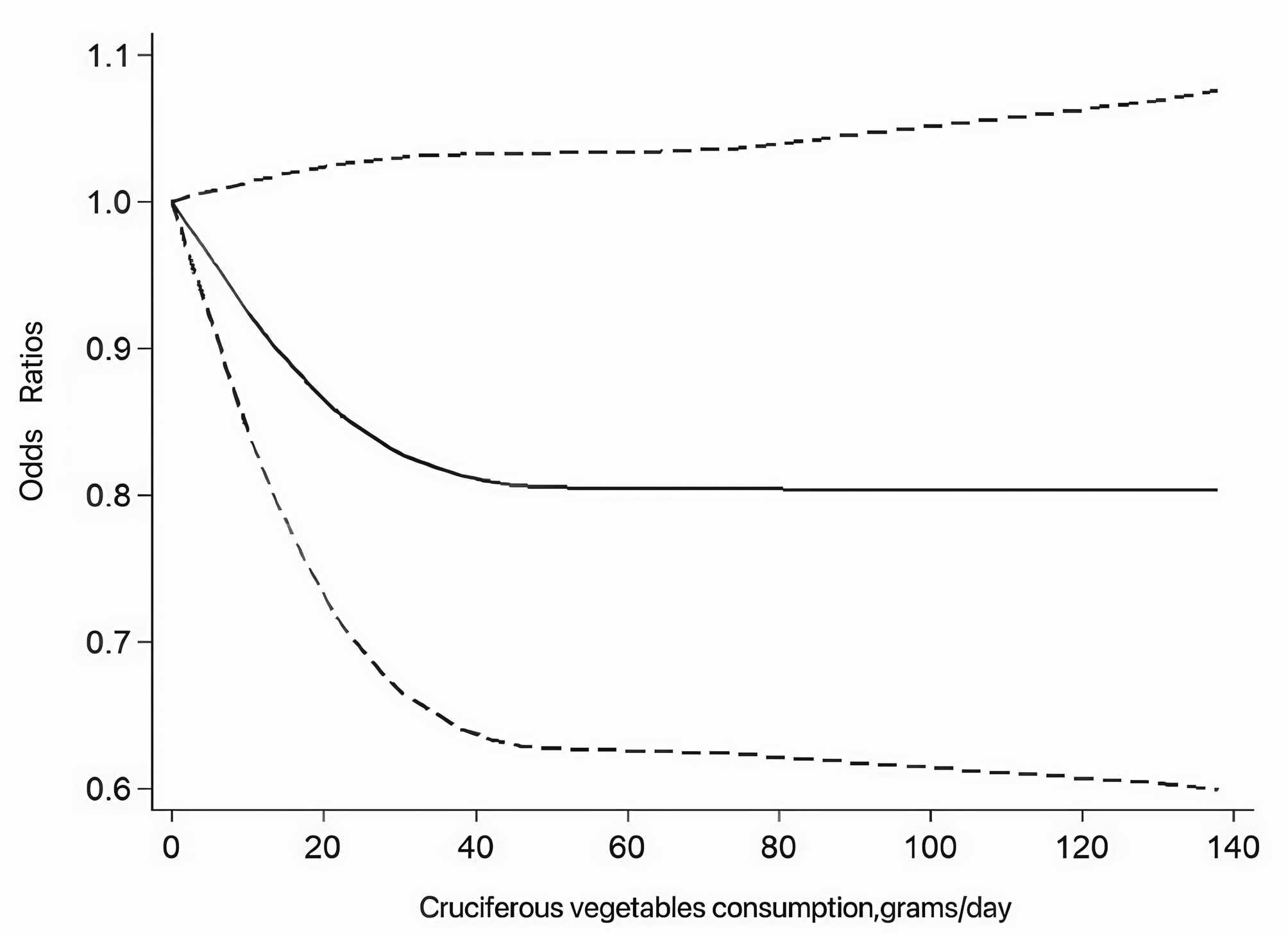
十字花科蔬菜消费量与比值比之间的剂量-反应关系。uux.cn/BMC胃肠病学(2025)。DOI:https://doi.org/10.1186/s12876-025-04163-9
(神秘的地球uux.cn)据美国物理学家组织网(Sanjukta Mondal):经常被推到盘子边缘的西兰花和芽甘蓝可能有助于降低患结肠癌的风险。
仅在2022年,结肠癌(CC)就夺走了903859人的生命。它是世界上第三大最常见的癌症,也是癌症相关死亡的第二大原因,每年约有190万例新诊断。在影响CC风险的众多因素中,饮食是最强大的因素之一,重要的是,也是我们可以控制的因素之一。
最近的一项系统综述发现,与摄入较少的人相比,摄入较多十字花科蔬菜(如西兰花、甘蓝、花椰菜或芽甘蓝)的人患结肠癌的风险降低20%。
研究人员分析了超过17项研究的数据,包括639539名参与者,其中97595例为癌症。每克含有20-40克十字花科蔬菜的保护效果最好。
该研究发表在BMC胃肠病学上。
十字花科蔬菜不仅富含有益的植物化学物质,包括黄酮类化合物、纤维、维生素C和类胡萝卜素,还富含硫代葡萄糖苷。当咀嚼时,这些化合物会分解成具有生物活性的异硫氰酸酯,特别是萝卜硫素(SFN)——一种不仅负责蔬菜强烈、独特气味的分子,还负责它们的保护和化学预防作用。
异硫氰酸盐通过多种机制发挥其癌症保护作用:它们可以阻断激活致癌物的酶,触发恶性细胞凋亡(程序性细胞死亡),抑制肿瘤部位新血管的形成,并阻止细胞周期,从而防止癌症细胞的失控生长。
研究人员分析了来自7个队列和10个病例对照研究的数据,以探索剂量-反应关系,并确定更高的蔬菜摄入量是否对应于风险的更大降低,如果是这样,这种影响变得显著的具体量。
他们发现,吃蔬菜的保护作用开始出现的最佳点是每天20克左右。在20至40克之间观察到每克风险降低最大,但每天40克以上没有明显改善。保护作用稳定在40至60克之间,超过这个范围没有额外的好处。
该研究还表明,地理因素可能在决定保护作用的程度方面发挥作用。研究小组发现,在北美和亚洲的研究中,这种保护作用尤其明显,但在欧洲或澳大利亚则不太明显。
研究人员注意到,虽然这项研究表明,十字花科蔬菜的摄入量与结肠癌癌症发病率之间存在着一种有希望的相反关系,但应谨慎解释这一发现。
研究设计的差异和饮食评估的变化等方法学局限性使得有必要认识到结果附带的注意事项。













